Blog
Surat Lamaran Yang Baik Dan Benar Harus Ditinjau Sehubungan Dengan
parut jerawat dalam
parfum wanita yang wanginya kalem dan tahan lama dan murah
oxy parut jerawat
panggilan telepon gambar telepon wa berjam jam
pabrik contoh surat lamaran kerja di pt sebagai karyawan
parut jerawat boleh hilang
parfum pria tahan lama harga murah
parfum murah dan wangi tahan lama
Mengidentifikasi Unsur Kebahasaan Surat Lamaran Pekerjaan Zuhri
Mengidentifikasi Unsur Kebahasaan Surat Lamaran Pekerjaan Zuhri
Membuat Surat Lamaran Yang Baik Dan Benar Harus Ditinjau Dari Segi
31 Contoh Kop Surat Resmi Dan Tidak Resmi Yang Benar Romadecade
Soal Pilihan Ganda Indo
To 1 A Docx
Soal Bahasa Indonesia
Surat Lamaran Pekerjaan Other Quiz Quizizz
Soal Latihan Bahasa Indonesia Kelas 12 Semester 1 Pg Dan Essay
Latihan Soal Pas Bk Bahasa Indonesia Docx
Makalah 1 Analisis Pekerjaan
Materi Bahasa Indonesia Soal Pg Wattpad
Soal Persiapan Penilaian Akhir Semester 1 Bahasa Indonesia Kelas
Surat Lamaran Pekerjaan Quiz Quizizz
50 Contoh Soal Pg Bahasa Indonesia Kelas 12 Sma Ma Dan Kunci
Materi Bahasa Indonesia Soal Pg Wattpad
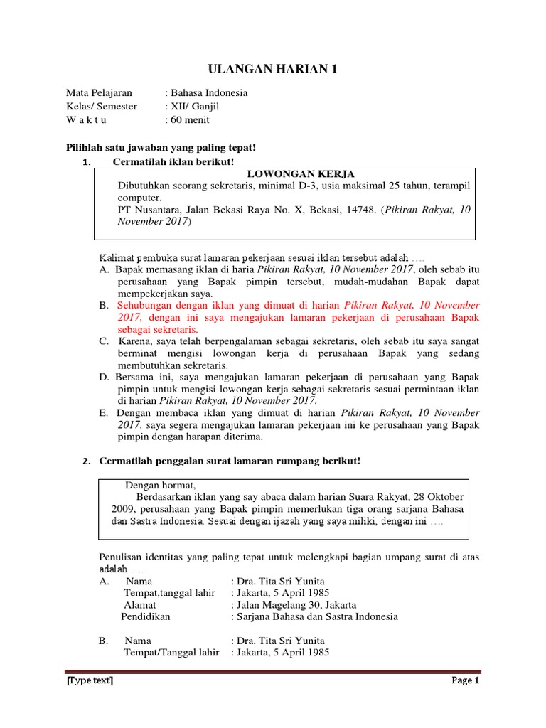
Ulangan Harian 1 Bin Xii
B Indo Fun Quiz Quizizz
Iqbal Pamungkas 11131334
Materi Bahasa Indonesia Soal Pg Wattpad
Source :
pinterest.com
Random Posts
Surat Lamaran Kerja Guru Tulis Tangan
Surat Lamaran Kerja Dokter Umum Ke Rumah Sakit
Surat Lamaran Kerja Engineering
Surat Lamaran Kerja Guru Smp Doc
Surat Lamaran Kerja Driver Tulisan Tangan
Surat Lamaran Kerja Email Pdf
Surat Lamaran Kerja Frontliner
Surat Lamaran Kerja Di Pabrik Garmen
Surat Lamaran Kerja Guru Smk
Surat Lamaran Kerja Ditujukan Kepada Hrd Atau Pimpinan
Surat Lamaran Kerja Guru Olahraga
Surat Lamaran Kerja Di Rumah Sakit Siloam
Surat Lamaran Kerja Gudang Garam
Surat Lamaran Kerja Driver
Surat Lamaran Kerja Di Toko Emas
Surat Lamaran Kerja Dosen Non Pns
Surat Lamaran Kerja Di Pt Yamaha Motor
Surat Lamaran Kerja Guru Pai
Surat Lamaran Kerja Di Warung Makan
Surat Lamaran Kerja Di Pabrik Garment